El estudio de los números y sus clasificaciones en diferentes categorías, así como sus agrupaciones en conjuntos es una tarea fascinante. Recientemente compartí una lista de los diferentes tipos de números primos y hoy quiero presentarles una lista de diferentes conjuntos de números en la que, estoy seguro, encontrarán algunos de los que nunca habían oído. Como son tantos, los presentaré en varias entradas.

Excluyendo esos conjuntos de primos antes mencionados (ver https://blogs.elespectador.com/actualidad/ecuaciones-de-opinion/los-nombres-de-los-numeros/) y sin seguir un orden especial, empiezo por presentarles los

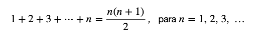
Números triangulares: un número triangular es el que se obtiene al sumar los primeros números enteros positivos consecutivos. Se pueden disponer formando un triángulo equilátero como indica la figura 

así que los primeros números triangulares son:  1, 3, 6, 10, 15, 2, 28, 36, 45, 55, …

y la fórmula general para determinarlos es:

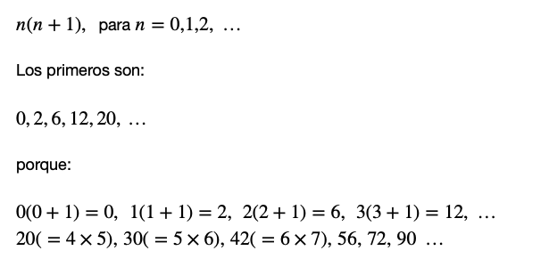
Números Oblongos: un número oblongo es el que resulta de multiplicar dos números naturales consecutivos. Estos números también se conocen como números rectangulares o números prónicos. La fórmula general de los números oblongos es:

Números corteses: un número cortés es el que puede escribirse como la suma de dos o más números naturales consecutivos. Y si un número natural no es cortés, se dice que es un número descortés. Estos son los primeros números corteses:

3, 5, 6, 7, 9, 10, 11, 12, 13, 14, 15, 17, 18, 19, 20, 21, 22, 23, 24, 25, 26, 27, 28, … 

Los números corteses no tienen una expresión única, pueden obtenerse en forma diferente como suma de dos o más naturales consecutivos; así por ejemplo:

15 = 7 + 8

15 = 4 + 5 + 6

Los números descorteses son exactamente las potencias positivas de dos y los números corteses son entonces todos los números naturales que no son potencias de dos.

Números odiosos: un número odioso es un número natural cuya expresión binaria (en base 2) contiene un número impar de unos. Por ejemplo, 1310 = 10112 es un número odioso. Los primeros números odiosos son:

1, 2, 4, 7, 8, 11, 13, 14, 16, 19, 21, 22, 25, 26, 28, …

Números felices: un número feliz es un número natural que cumple la siguiente regla: si sumamos los cuadrados de sus dígitos y seguimos ese mismo proceso con los resultados obtenidos, el resultado final es 1. Por ejemplo, el número 365 es un número feliz ya que:

3² + 6² +5² = 70

7² + 0² = 49

4² + 9² = 97

9² + 7² = 130

1² + 3² + 0² = 10

1² + 0² = 1.

Los números que no son felices son los números infelices y al seguir el procedimiento anterior se cae en un bucle que no conduce a 1; por ejemplo 2025 es un número infeliz porque:

2² + 2² + 5² = 33

3² + 3² = 18

1² + 8² = 65

6² + 5² = 61

6² + 1² = 37        (*)

3² + 7² = 58

5² + 8² = 89

8² + 9² = 145

1² + 4² + 5² = 42

4² + 2² = 20

2² + 0² = 2

2² = 4

4² = 16 

1² + 6² = 37    

A partir del último valor, que coincide con el señalado con (*), se va a repetir el mismo bucle siempre que obtengamos 37 y es imposible entonces llegar al número 1.

Los primeros números felices son: 1, 7, 10, 13, 19, 23, 28, 31, 32, 44, 49, 68, 70, 79, 82, 86, 91, 94, 97, 100.

Números colombianos: para definir un número colombiano primero les cuento cuáles son los números que no lo son, mediante un sencillo ejemplo: si sumamos el número 12 con sus cifras obtenemos:

12 + 1 + 2 = 15

esto significa que 15 no es un número colombiano

Un número colombiano es un entero positivo que no puede escribirse como la suma de otro entero positivo con sus cifras. Por ejemplo, el número 20 es colombiano porque no existe un entero que al sumarle sus cifras nos dé como resultado 20. Los primeros números colombianos, menores que 100 son: 

1, 3, 5, 7, 9, 20, 31, 42, 53, 64, 75, 86, 97.

Entre 100 y 200 hay sólo 10 números colombianos:

108, 110, 121, 132, 143, 154, 165, 176, 187, 198.

El origen del nombre, está en un artículo publicado en 1974, en la revista The American Mathematical Monthly Vol. 81, N. 4, en el que el profesor de la Universidad de Winsconsin, D. W. Bange, da la solución a un problema planteado un año antes por el matemático colombiano Bernardo Recamán Santos, consistente en demostrar que en cualquier base existen infinitos números que él llamó “decimales colombianos”, como los descritos anteriormente en base 10.

Números narcisistas: un número narcisista es un número natural que puede expresarse como la suma de las potencias de sus cifras elevadas a la cantidad de cifras que tiene el número. Por ejemplo, el número 1634 es un número narcisista, puesto que, teniendo 4 cifras, que son 1, 6, 3 y 4, se cumple que:

14 + 64 + 34 + 44 = 1 + 1296 + 81 + 256 = 1634.

Su nombre seguramente alude a lo mucho que se quieren a sí mismos ya que parecen estar enamorados de su propia imagen. 

Los números narcisistas menores que 100.000 son: 

1, 2, 3, 4, 5, 6, 7, 8, 9, 153, 370, 371, 407, 1634, 8208, 9474, 54748, 92727 y 93084. 

Números prácticos: un número práctico es un número natural tal que todos los enteros positivos menores que él, pueden representarse como sumas de distintos divisores suyos. Por ejemplo, el número 12 es un número práctico porque con sumas de algunos de sus divisores {1, 2, 3, 4, 6} se pueden obtener todos los números del 1 al 11. En efecto:

1 = 1,

2 = 2,

3 = 3,

4 = 4,

5 = 3 + 2, 

7 = 6 + 1, 

8 = 6 + 2, 

9 = 6 + 3, 

10 = 6 + 3 + 1 y 

11 = 6 + 3 + 2.

Los primeros números prácticos son:

1, 2, 4, 6, 8, 12, 16, 18, 20, 24, 28, 30, 32, 36, 40, 42, 48, 54, 56, 60, 64, 66, 72, …

Como lo mencioné al principio, son tantos los números con nombre propio, que amerita preparar otro artículo para presentarles más números como los expuestos hasta aquí. Estos números se usan generalmente para propósitos criptográficos y también conviene aquí reconocer, como lo expresa el matemático británico G. H. Hardy (1877–1947) en su libro Apología de un matemático, en referencia a algunos de estos conjuntos, que se trata de hechos excepcionales, ideales para acertijos y propósitos similares, que contribuyen a entretener a los aficionados a las matemáticas.

Observen que hay números, como el 7, que es colombiano, feliz, cortés, odioso y narcisista, pero no es práctico. Seguramente los lectores conocerán algún compatriota con estas características. 

@MantillaIgnacio

Avatar de Ignacio Mantilla Prada

Comparte tu opinión

1 Estrella2 Estrellas3 Estrellas4 Estrellas5 EstrellasLoading…


Todos los Blogueros

Los editores de los blogs son los únicos responsables por las opiniones, contenidos, y en general por todas las entradas de información que deposite en el mismo. Elespectador.com no se hará responsable de ninguna acción legal producto de un mal uso de los espacios ofrecidos. Si considera que el editor de un blog está poniendo un contenido que represente un abuso, contáctenos.