El profesor Yu Takeuchi fue sin duda uno de los personajes que más ha aportado al desarrollo de la matemática en Colombia. Al cumplirse un aniversario más de su fallecimiento este 25 de diciembre, comparto de nuevo, especialmente para quienes no tuvieron el privilegio de conocerlo, mi experiencia como su discípulo.
Desde su arribo a Colombia en 1959 junto con otros japoneses que vinieron gracias a un programa de intercambio académico entre los dos países, Takeuchi supo que este país le iba a gustar. No hablaba ni una palabra de español al principio; ni siquiera sabía dónde quedaba Colombia cuando vio el anuncio en una cartelera de la Universidad Imperial de Tokio en la que ya era docente. Después de buscar en un atlas la ubicación y tomar la decisión de embarcarse, arribó al puerto de Buenaventura tras un largo viaje y finalmente llegó a su destino, Bogotá.
Siempre estuvo vinculado a la Universidad Nacional aunque fue profesor invitado y conferencista en prácticamente todas las universidades colombianas. Sus libros de texto tuvieron tal influencia, que podría afirmar, sin temor a equivocarme, que Takeuchi fue profesor o influyó, durante cinco décadas, en todos los docentes universitarios de matemáticas del país. En 2008, al celebrarse 100 años de relaciones entre Colombia y Japón, fue destacado como el japonés que mayor influencia había tenido en nuestro país.
Dueño de una habilidad e intuición matemática envidiables, manejaba como pocos algunas áreas de difícil dominio, tales como las Sucesiones y Series o el Análisis Matemático y la Variable Compleja. Escribió cerca de 40 libros de matemáticas que él mismo digitó (usando solo sus dos dedos índices) en una vieja máquina de escribir a la que había que cambiarle los tambores metálicos con las letras para estampar algunos símbolos matemáticos. Las gráficas y demás símbolos los hacía a mano en los espacios que reservaba para llenar luego.
En una época en la que los textos de matemáticas universitarias eran importados y por lo tanto muy costosos y de difícil acceso, sus publicaciones, de excelente calidad, estaban al alcance de los estudiantes gracias al bajo costo que tenían, con el que escasamente cubría su edición. En un taller instalado en el garaje de su casa, producía todo ese arsenal matemático con la ayuda de sus hijos, quienes eran sus principales ayudantes a la hora de compaginar, empastar y pegar folletos y libros.
Pero el profesor Takeuchi no solo se limitó a hacer aportes a las matemáticas, era un excelente observador de nuestra realidad e idiosincracia y hacía críticas tan acertadas, que sociólogos como Alfredo Molano, afirmaba que el mejor sociólogo colombiano no era sociólogo ni era colombiano: era el profesor Takeuchi. Cuando le preguntaron a Takeuchi cuáles eran las diferencias entre los colombianos y los japoneses, lo sintetizó magistralmente: “un colombiano es más inteligente que un japonés, pero dos japoneses son más inteligentes que dos colombianos”.
Una buena descripción de su aguda mirada es la que él mismo expresó cuando dijo: “Mi forma de actuar se debe a que combino la cultura oriental con la malicia indígena, al fin y al cabo yo aprendí esas dos culturas”.
La celebración de la Navidad y Año Nuevo me trae gratos recuerdos del profeosr Takeuchi porque al finalizar el año tenía por costumbre realizar reuniones en su casa para despedir el año; reuniones en las que él mismo preparaba una exquisita cena para unas 20 o 30 personas entre estudiantes de posgrado y profesores de matemáticas, con platos que los asistentes probábamos por primera vez tales como el Sushi, que hace 40 años aún no era ofrecido en Colombia. Era un gran cocinero y alguna vez me confesó que había logrado preparar los platos típicos colombianos más conocidos, menos uno: la lechona. Al preguntarle si había podido preparar tamales, me dijo:
—Sí, los tolimenses y los santandereanos.
Tuve la fortuna de ser su alumno o más bien su discípulo, fue mi profesor en varias asignaturas y mi director de tesis de maestría en matemáticas. Escribió una carta de recomendación para mi admisión al doctorado en Alemania. Su generosidad era amplia, no solo compartiendo sus conocimientos sino en todos los órdenes, especialmente cuando había que apoyar a algún estudiante necesitado.
Yo solía hablar mucho con el profesor Takeuchi y siempre acudía a él cuando tenía dificultades con algún problema de matemáticas. Era su costumbre desprender una hoja de alguna cartelera y escribir sobre ella, sin importar si tenía o no espacio en blanco.
Su oficina era un caos; un desorden de libros, papeles, cajas de tizas, lápices y esferos; y una torre de libros a punto de caer; sin embargo sabía perfectamente dónde estaba cada cosa que necesitaba.
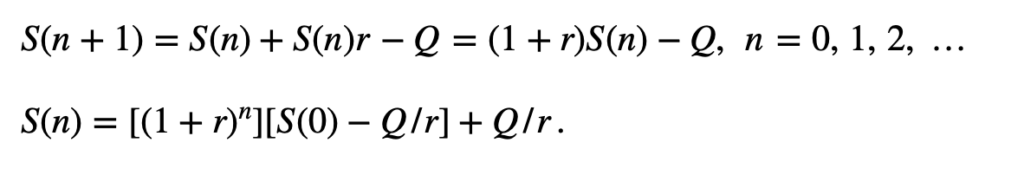
Como es apenas natural, son muchas las anécdotas que podría compartir sobre el profesor Takeuchi, pero me limitaré a compartir solo un par de ellas. La primera es una historia de hace unos 30 años, que muestra su talante maestro: le comenté que necesitaba comprar un carro, pero agregué que no tenía los recursos y que los préstamos bancarios eran impagables o muy ventajosos para los bancos y que además el vehículo quedaba pignorado hasta el pago total de la deuda. Inmediatamente me dijo que él podría hacerme un préstamo. Escribió sobre un papel la fórmula que aún conservo:
Como la suma prestada es P, entonces valor inicial S(0) = P.
—Muy bien —dijo el profesor Takeuchi—. Ahora debe decidir cuánto necesita; es decir elegir S(0) y jugar con los tres parámetros: cuota fija Q, y duración del préstamo, determinando el n tal que S(n) = 0. El interés r es 1 % mensual (r = 0,01 en la fórmula), en una época en la que para este tipo de préstamos el interés se acercaba al doble.
Fue así como recibí un cheque de diez millones de pesos sin firmar ningún papel que garantizara mi cumplimiento y una valiosa fórmula para calcular las cuotas fijas mensuales que pagué rigurosamente durante 24 meses, período en el que el saldo S(24) fue cero.
Una anécdota que me gusta contar es la que tiene que ver con el análisis que me hizo sobre el dominio matemático de su pequeña nieta cuando la niña apenas empezaba a hablar.
—Mi nieta sólo sabe tres palabras y con ellas ya domina conceptos matemáticos —me dijo un día en la sala de profesores del edificio 404, mientras se tomaba un café.
—¿Cuáles son esa tres palabras, profesor? —pregunté intrigado.
—Mi nieta dice “MÍO” y eso es porque tiene claro el concepto de pertenencia —sonrió. Y continuó—: mi nieta dice “NO”, lo que indica que maneja la negación lógica y la niña también sabe pedir “MÁS”, o sea que conoce ya la adición. Con tres palabras: MÍO, NO y MÁS se defiende divinamente.
En el año 2010, siendo yo decano de la Facultad de Ciencias tuve el privilegio y la satisfacción de acompañarle, junto con el rector Moisés Wassermann, a la Casa de Nariño a recibir su nacionalidad colombiana. Ese día fue muy especial para el profesor Takeuchi, estaba feliz y se vistió de corbata, única vez que lo vi así vestido. Al terminar la ceremonia le ofrecimos una copa de vino en el Claustro de San Agustín en compañía de su familia y de un nutrido grupo de matemáticos. Sus palabras fueron breves pero aún recuerdo que terminó preguntando: “… ¿Y dónde me entregan cédula de ciudadano colombiano?”
Tras su muerte en diciembre de 2014, el Consejo Superior Universitario de la Universidad Nacional aprobó (unánimemente) llamar con su nombre al edificio en el que el profesor Takeuchi siempre tuvo su oficina.
Recientemente un amplio grupo conformado principalmente por sus exalumnos, en cabeza del colega Iván Castro Chadid, hemos creado un “colectivo” con su nombre para intercambiar noticias, curiosidades y problemas de matemáticas, así como para realizar encuentros y mantener una permanente comunicación compartiendo mensajes que nos mantengan unidos disfrutando de una gran amistad y tratando de continuar la tarea de divulgación de las matemáticas que tanto le importaba a Takeuchi.
Actualmente, a través de la Academia Colombiana de Ciencias Exactas, Físicas y Naturales, la familia Takeuchi entrega anualmente el Premio Yu Takeuchi a la mejor tesis colombiana de doctorado en matemáticas, física o estadística y a la mejor tesis de maestría en alguna de estas mismas áreas, con montos de más de 10 millones de pesos para doctorado y la mitad para maestría.
El legado de Takeuchi es de un enorme valor, su riqueza intelectual, su prodigiosa intuición matemática y su ejemplar vida austera, debe inspirarnos a todos los colombianos.
¡Gracias Maestro!
@MantillaIgnacio
Ignacio Mantilla Prada
Matemático
Profesor
Dr. Rer. Nat.
Rector 2012 – 2018
Universidad Nacional de Colombia
Los editores de los blogs son los únicos responsables por las opiniones,
contenidos, y en general por todas las entradas de información que deposite en el mismo. Elespectador.com no
se hará responsable de ninguna acción legal producto de un mal uso de los espacios ofrecidos. Si considera
que el editor de un blog está poniendo un contenido que represente un abuso, contáctenos.